Ответы
Ответ дал:
0
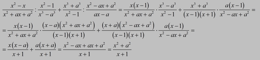
Вероятней всего, что в третьей дроби сумма кубов x^3+a^3, иначе будут слишком громоздкие и некрасивые вычисления
Приложения:

Вас заинтересует
7 лет назад
10 лет назад