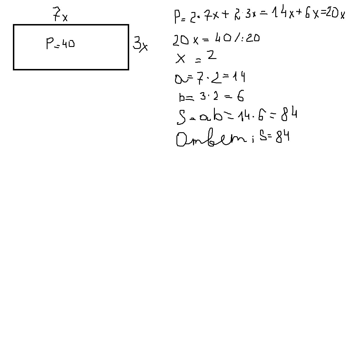
Две стороны прямоугольника составляют 3:7.НАйти площадь прямоугольника если периметр равен 40 см? Срочно!
Ответы
Ответ дал:
0
a-длина прямоугольника, b-ширина прямоугольника.
Приложения:

Вас заинтересует
2 года назад
2 года назад
7 лет назад
7 лет назад
9 лет назад
9 лет назад
10 лет назад