• Предмет: Алгебра
  • Автор: bahrom1994
  • Вопрос задан 11 лет назад

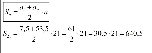
арифметическая прогрессия 7,5+9,8+12,1+...+53,5 объясните пожалуйста откуда они взяли ответ 640,5?Для облегчения сразу скажу вам d=2.3 a21=53,5

Ответы

Ответ дал: Аноним
0

По формуле суммы первых n членов ариф. прог.

 

см. вложение

==================

 

Приложения:
Вас заинтересует