• Предмет: Геометрия
  • Автор: Maksim38rus
  • Вопрос задан 11 лет назад

Помогите пожалуйста.

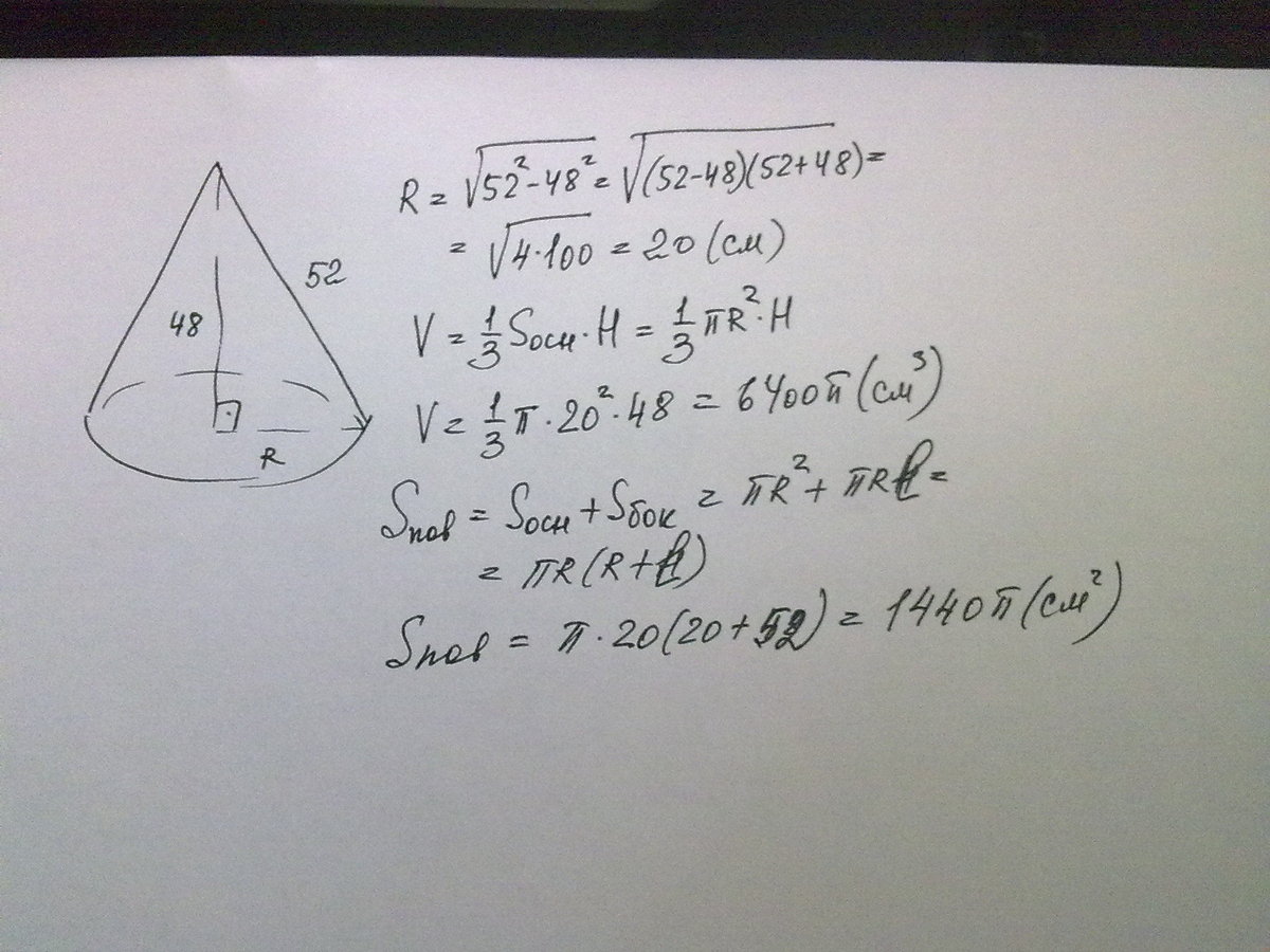
образующая конуса 52 см высота 48 см. Найти объем и площадь полной поверхности

Ответы

Ответ дал: Rechnung
0

............................................................................................

Приложения:
Ответ дал: 01729890
0

R^2=52^2-48^2

R=20cm

 

V=1/3pR^2h

V=1/3*p*400*48

V=6400p

 

S=pR(R+l)

S=p*20(20+52)

S=1440p

Приложения:
Вас заинтересует