Ответы
Ответ дал:
0
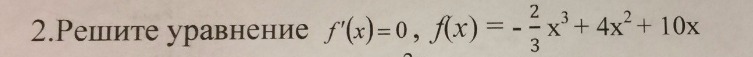
f'(x)=-2x^2+16x+10=x^2-8x-5=0
D=64+20=84=(2корень из 21)^2
x1=8-2корень из 21/2=4-корень из 21
x2=2+корень из 21
D=64+20=84=(2корень из 21)^2
x1=8-2корень из 21/2=4-корень из 21
x2=2+корень из 21
Вас заинтересует
2 года назад
7 лет назад
7 лет назад
10 лет назад
10 лет назад
10 лет назад