Ответы
Ответ дал:
0
2x-1≥0
2х≥1
х≥0,5
х-2≥0
х≥2
х∈[2; +∞)
x₁=1 не подходит
Ответ: x=5
2х≥1
х≥0,5
х-2≥0
х≥2
х∈[2; +∞)
x₁=1 не подходит
Ответ: x=5
Приложения:

Ответ дал:
0
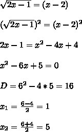
√2x-1=x-2
2х-1=(х-2)²
2х-1=x²-4x+4
-x²+6x-5=0
D=6²-4*5=16
x₁=1 не соотв условию 1-2=-1 ,а корень не может быть отрицаьельным
x=5
2х-1=(х-2)²
2х-1=x²-4x+4
-x²+6x-5=0
D=6²-4*5=16
x₁=1 не соотв условию 1-2=-1 ,а корень не может быть отрицаьельным
x=5
Приложения:

Ответ дал:
0
Спасибо
Вас заинтересует
2 года назад
7 лет назад
7 лет назад