• Предмет: Физика
  • Автор: Pancershrek
  • Вопрос задан 11 лет назад

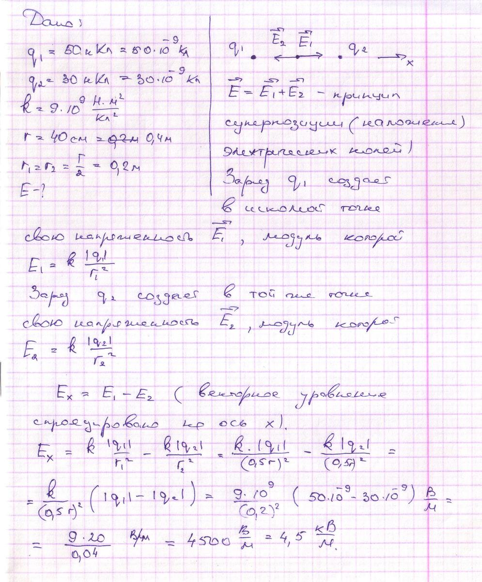
Помогите, пожалуйста...никак не могу решить: 

        Между двумя зарядами 50нКл (50*10^-6) и 30нКл (30*10^-6) в вакууме расстояние 40 см. Определить в СИ напряженность электрического поля посередине между зарядами.

Ответы

Ответ дал: SerpMolot
0

Решение Вашей задачи находится во вложении

Приложения:
Вас заинтересует