Помогите пожалуйста!
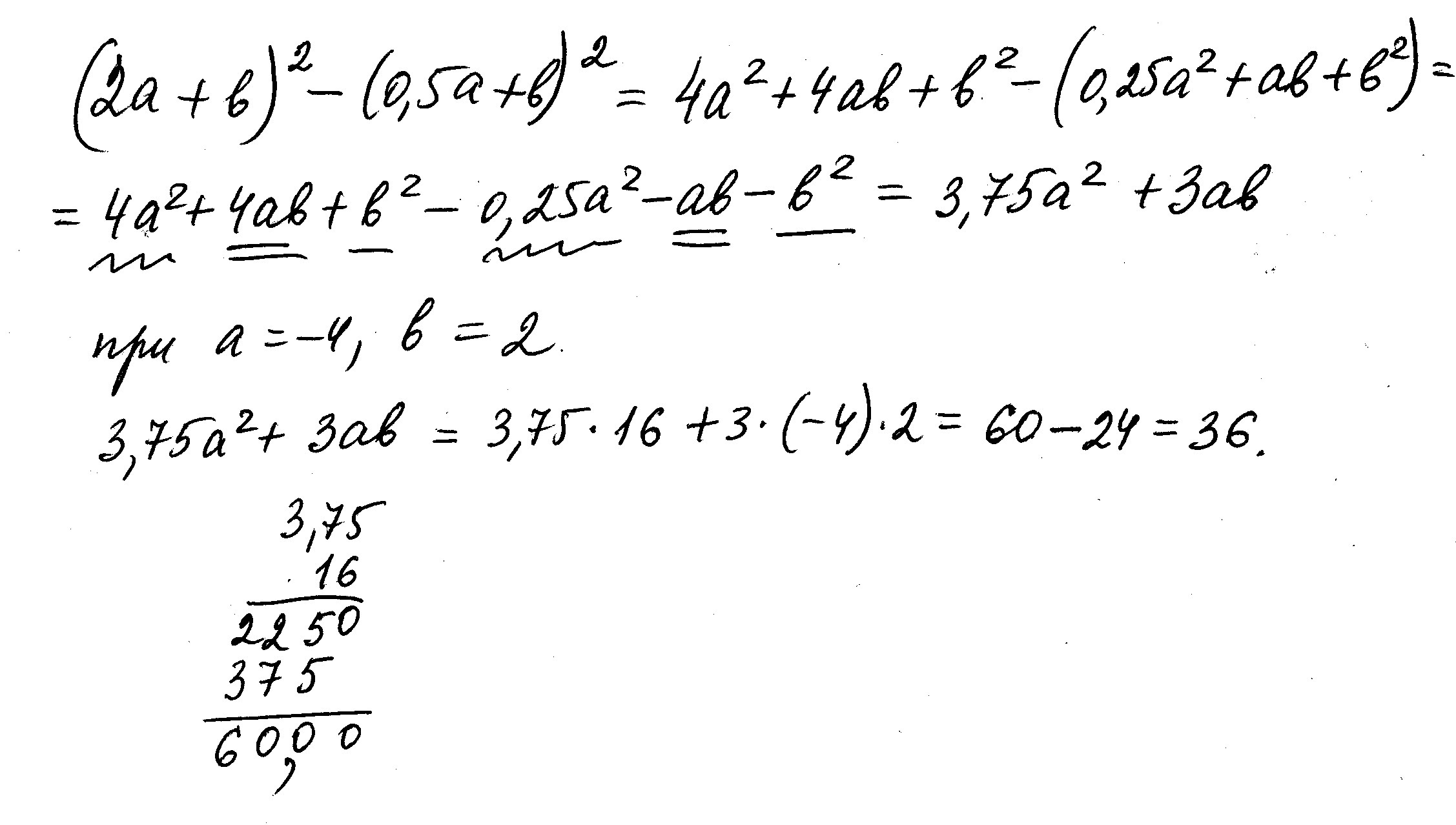
Упростите выражение и найдите его значение при a=-4; b=2
(2a+b)^2-(0,5a+b)^2
Ответы
Ответ дал:
0
решение во вложенном файле
Приложения:

Вас заинтересует
7 лет назад
7 лет назад
9 лет назад
10 лет назад