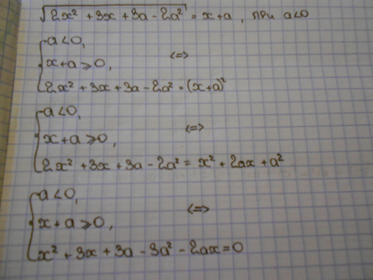
Помогите пожалуйста решить уравнение с параметром. Задание: при каком значении параметра а уравнение имеет единственное решение. Во вложениях начало решения. в последнем уравнении нужно как-то сгруппировать, чтобы потом действовать по схеме:
A(a) * f(x) = B(a).
Если A(a) не равно 0, то f(x) = B(a) / A(a).
Если A(a) = 0, B(a) не равно 0, то 0* f(x) = B(a) - решений нет.
Если A(a) = 0, B(a) = 0, то 0 * f(x)=0 - множество решений.
Приложения:

Ответа на этот вопрос пока нет. Попробуйте найти его через форму поиска.
Вас заинтересует
2 года назад
8 лет назад
8 лет назад
10 лет назад
10 лет назад