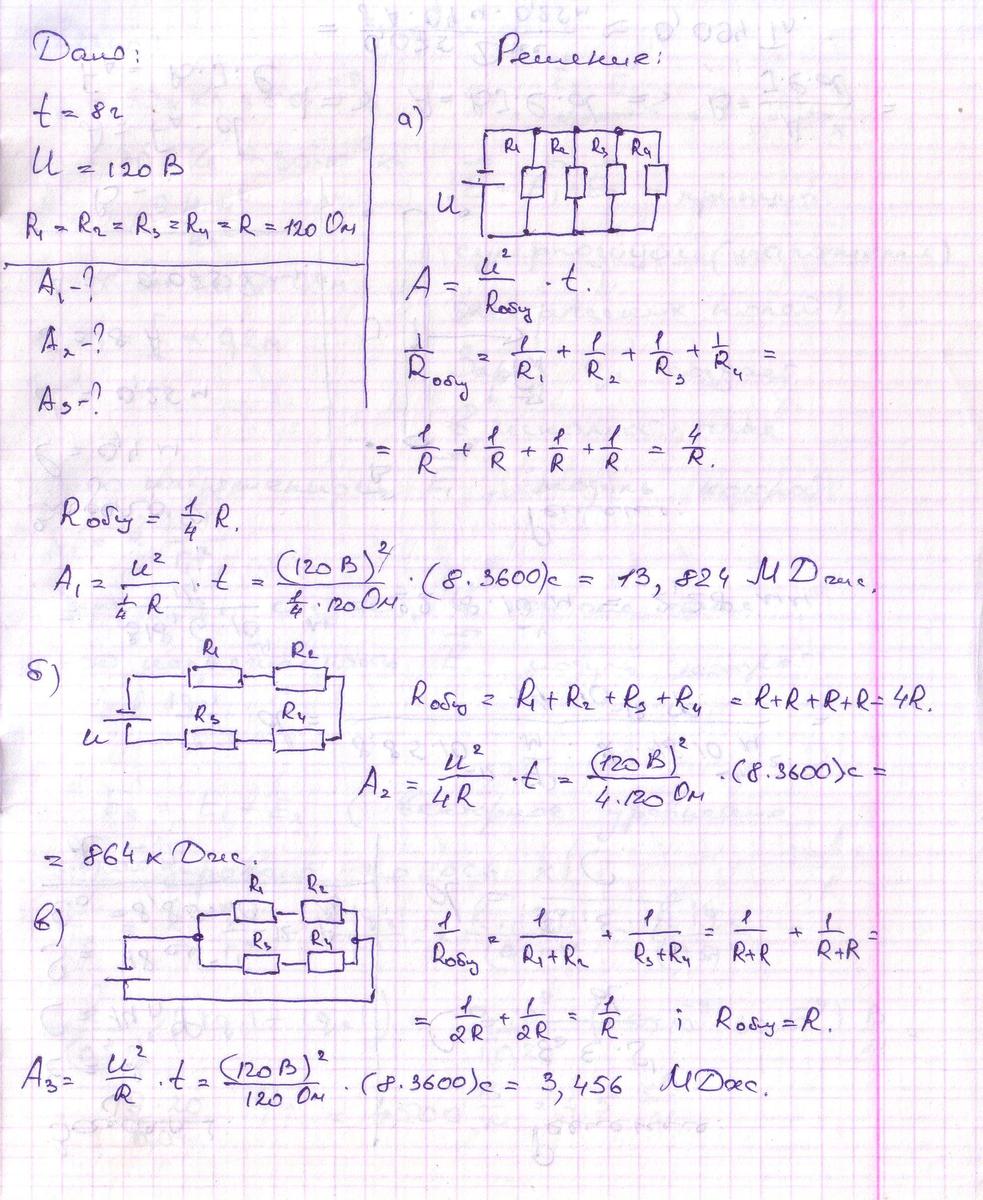
Определить расход энергии за 8 ч , если четыре лампы накаливания подключаются к сети с напряжением 120 В. а) параллельно, б) последовательно, в) по две последовательно в две параллельные группы. Сопротивление лампы 120 Ом
Ответы
Ответ дал:
0
Решение задачи смотрите во вложении
Приложения:
Вас заинтересует
3 года назад
3 года назад
8 лет назад
8 лет назад
11 лет назад
11 лет назад
11 лет назад