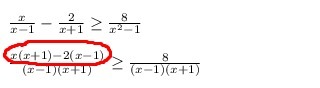
Откуда мы взяли эту строку??? Если привели к общему знаменателю, ТО КАК УМОЛЯЮ ОБЪЯСНИТЕЕЕЕЕЕ!!
Приложения:

Ответы
Ответ дал:
0
Числитель, как и знаменатель возводится в доп. множетель. Надеюсь понятно.
Ответ дал:
0
Вы возводите не только знаменатель, но и числитель. И верхнюю строчку умножение на доп. множитель и нижнюю умножаете на доп. множитель
Вас заинтересует
2 года назад
7 лет назад
9 лет назад
10 лет назад