Ответы
Ответ дал:
0
Решение во вложении) удачи
Приложения:

Ответ дал:
0
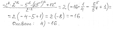
Ответ: 4) -16
P.S.
-2^4 = -16
поскольку в положительную степень возводится не -2, а просто 2,т.е.
было б (-2)^4 = 16 , а здесь -2^4 = -16
Приложения:

Вас заинтересует
2 года назад
8 лет назад
8 лет назад
10 лет назад
10 лет назад
10 лет назад