• Предмет: Алгебра
  • Автор: а4567
  • Вопрос задан 9 лет назад

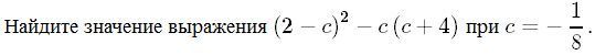
помогите как решают

Приложения:

Ответы

Ответ дал: serega61356
0

2-left(-frac{1}{8}right)^2-left(-frac{1}{8}right)left(-frac{1}{8}+4right)
-left(-cright)=c=2-left(-frac{1}{8}right)^2+frac{1}{8}left(-frac{1}{8}+4right)2-frac{1}{8^2}+frac{31}{64}frac{2}{1}+frac{31}{64}frac{2cdot :64}{64}+frac{31}{64} =frac{2cdot :64+31}{64} =frac{159}{64}-frac{1}{8^2}=frac{159}{64}-frac{1}{64}=frac{159-1}{64}=frac{158}{64}
Сокращаем на 2
=frac{79}{32} 
Вас заинтересует