• Предмет: Алгебра
  • Автор: Anastasiy163
  • Вопрос задан 2 года назад

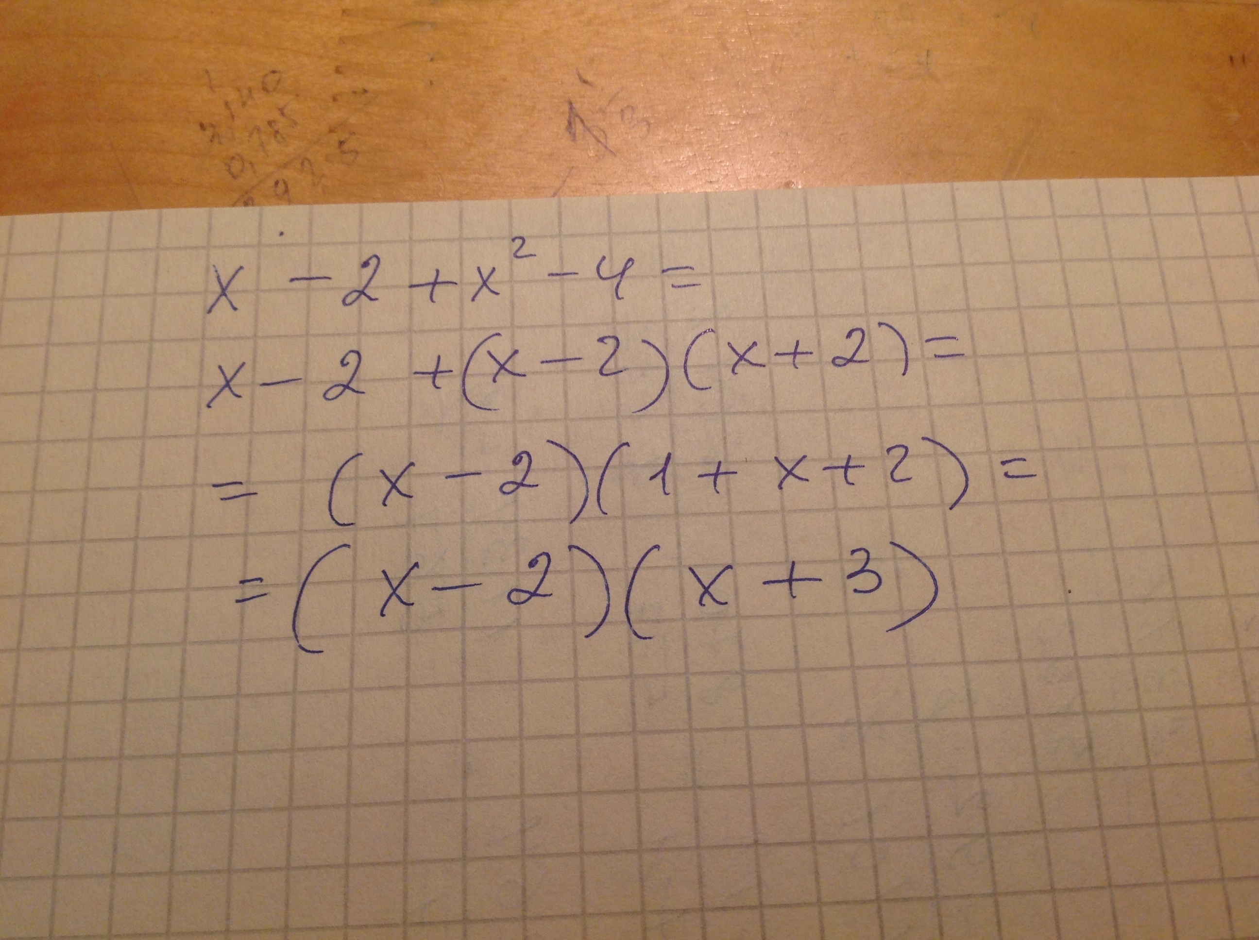
разложите на множители x-2+x²-4

Ответы

Ответ дал: LenaDelvin
2
(x-2)+(x-2)(x+2)=(x-2)(1+x+2)=(x-2)(x+3)

Ответ дал: ВладимирБ
2
Решение смотри на фото
Приложения:
Вас заинтересует