• Предмет: Алгебра
  • Автор: Кёрушима
  • Вопрос задан 2 года назад

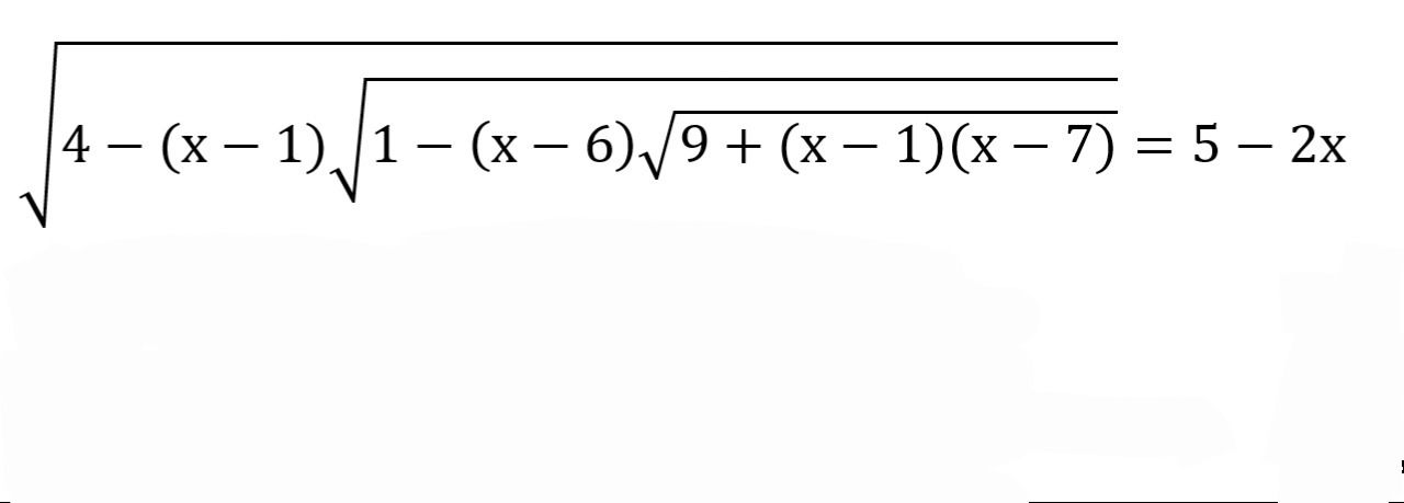
Помогите решить уравнение. Пожалуйста

Приложения:

Ответы

Ответ дал: okneret
1
Применены свойства арифметического квадратного корня
Приложения:
Вас заинтересует