• Предмет: Математика
  • Автор: lenka040670
  • Вопрос задан 2 года назад

помогите решить уравнение!
0.8(х-2)-0.7(х-1)=2.7


ackoshcka: 0,8(x-2)-0,7(x-1)=2,7
0,8x-1,6-0,7x-0,7=2,7
0,8x-0,7x=2,7-1,6-0,7
0,1x=0,4
x=4
Ответ:4

Ответы

Ответ дал: sazdreyka
0
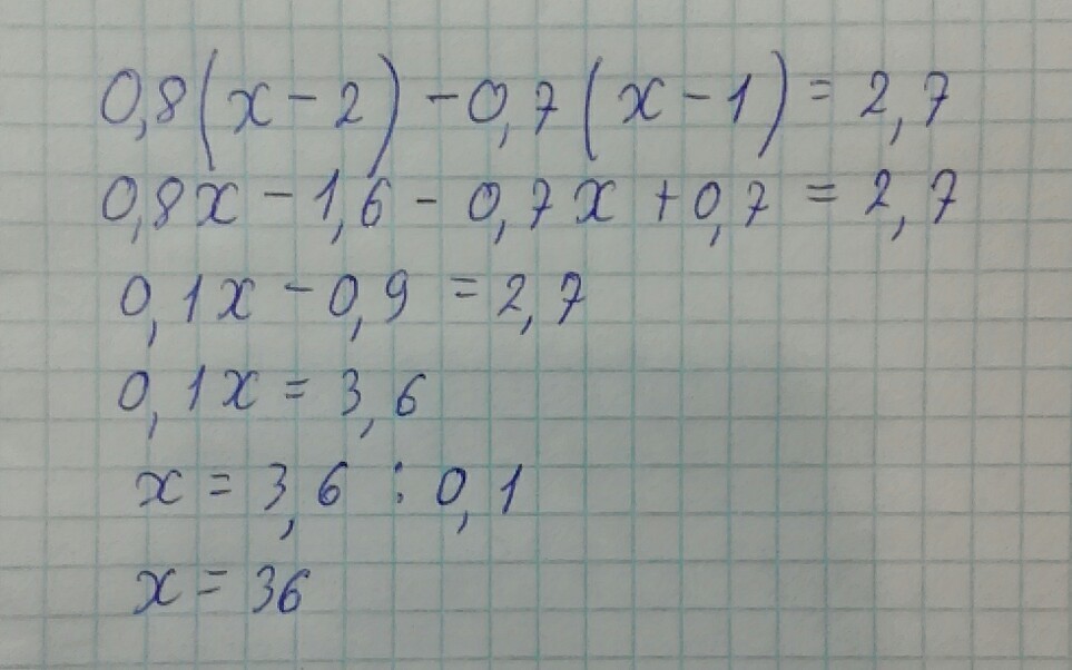
вот, держи. ответ на фото
Приложения:
Вас заинтересует