• Предмет: Математика
  • Автор: shix1337
  • Вопрос задан 2 года назад

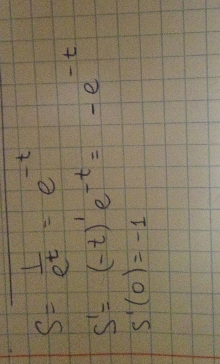
Найти производную функции и вычислить помогитепожалуйста прошу вас если можно сделайте на листочке 21 балл

Приложения:

Ответы

Ответ дал: armen98
1
по правилу дифференцирования сложной функции
Приложения:

shix1337: спасибо большой
Вас заинтересует