Ответы
Ответ дал:
0
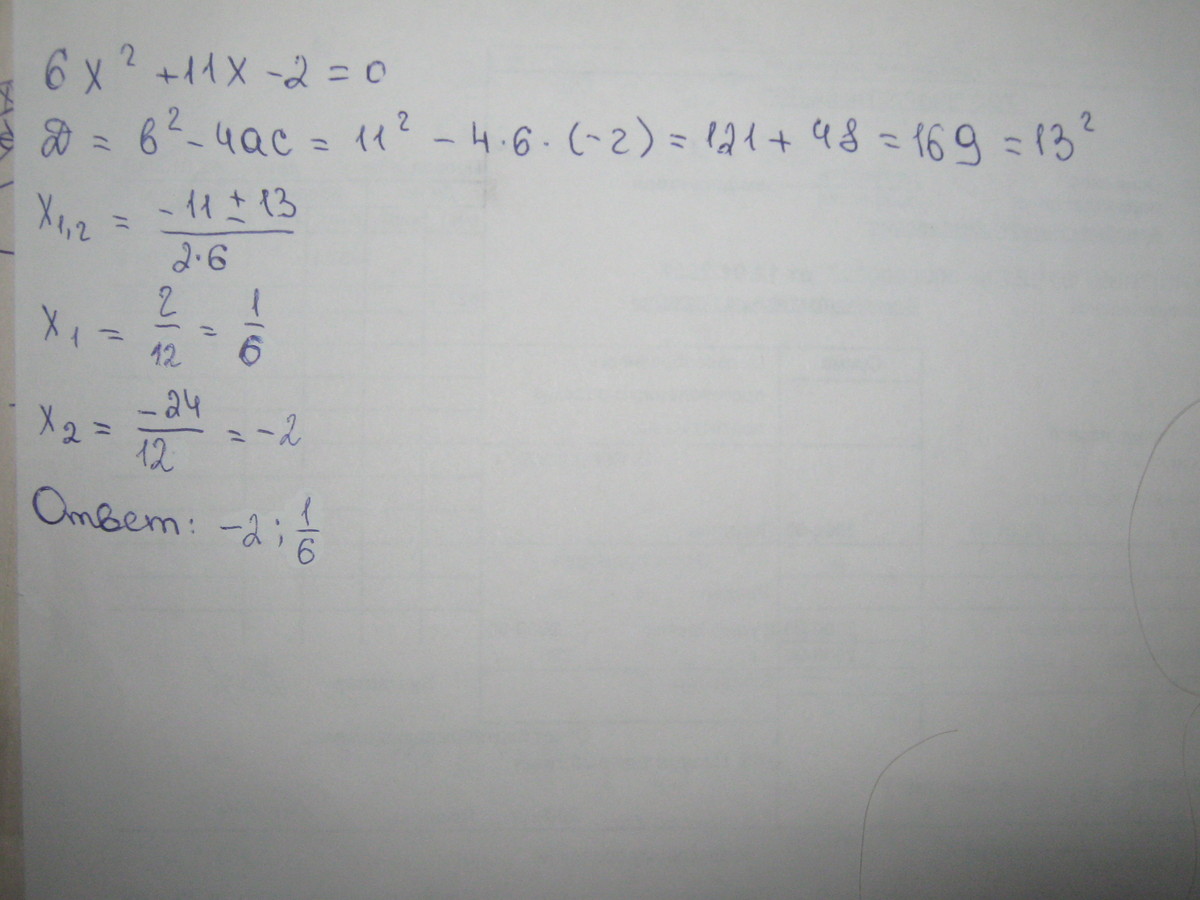
6х2+11х-2=0
через дискриминант по формуле Д=b^2-4ac
Д= 11^1 - 4*6*(-2)=121 -(-48)=121+48=169
Vд = V169 = 13
х1=-11+13/2*6 = 2/12=1/6
х2=-11-13/2*6 = -12/12=-2
ответ: х=-2 и х = 1/6
Ответ дал:
0
решение смотри во вложении..
Приложения:

Вас заинтересует
2 года назад
8 лет назад
8 лет назад
10 лет назад
10 лет назад
10 лет назад