• Предмет: Алгебра
  • Автор: layra0
  • Вопрос задан 2 года назад

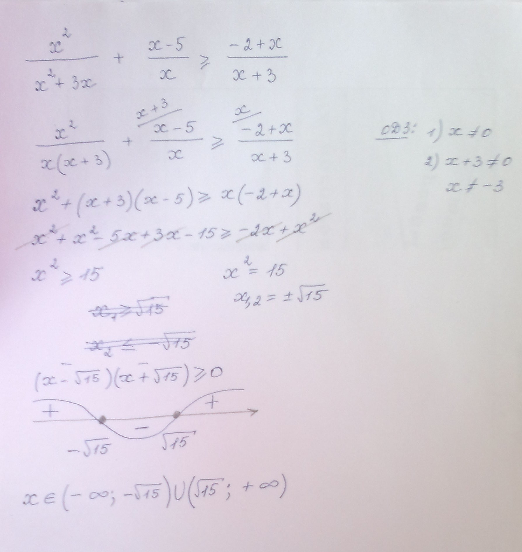
Решите неравенство:
(заранее спасибо)

Приложения:

Ответы

Ответ дал: ytekjdbvsq
0
Пишите, если что не так
Приложения:
Вас заинтересует