Ответы
Ответ дал:
0
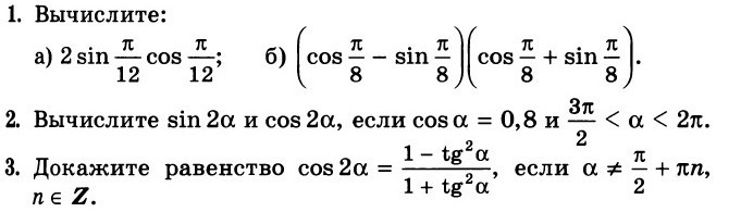
№1 а) = Sinπ/6 = 1/2
б) = Сos²π/8 - Sin²π/8 = Cosπ/4= √2/2
№2 Сosα = 0,8, α∈4четв. (Sinα = -√(1 - 0,64) = -0,6)
Sin2α = 2SinαCosα = 2*(-0,6)*0,8 = -0,96
Cos2α=2Cos²α - 1 = 2*0,64 -1 = 1,28 - 1 = 0,28
№3 числитель =
=1 - tg²α = 1 - Sin²α/Cos²α = (Cos²-Sin²α)/Сos²α = Cos2α/Cos²α
знаменатель =
1 + tg²α = 1 + Sin²α/Cos²α = (Cos²+Sin²α)/Сos²α = 1/Cos²α
Ответ: Сos2α
№4 а)Sin22°30' = √(1/2*(1-Cos45°) = √1/2*(1 - √2/2) =√(2 - √2)/4=
=√(2 - √2)/2
б) Cos15° = √1/2*(1 + Cos30°) = √1/2*(1 +√3/2) = √(2 + √3)/4=
=√(2 + √3)/2
№5 Cosα = -1/8
π< α < 3π/2 | :2
π/2 < α/2 < 3π/4 (2 четверть)
Sinα/2= √(1/2*(1- Сos α) = √1/2*(1 +1/8) = √(1/2*9/8 )= √(9/16) = 3/4
Сosα = -√(1/2*(1+Сos α) = -√1/2*(1 - 1/8) =- √(1/2*7/8 )=- √(7/16) =- √7/4
б) = Сos²π/8 - Sin²π/8 = Cosπ/4= √2/2
№2 Сosα = 0,8, α∈4четв. (Sinα = -√(1 - 0,64) = -0,6)
Sin2α = 2SinαCosα = 2*(-0,6)*0,8 = -0,96
Cos2α=2Cos²α - 1 = 2*0,64 -1 = 1,28 - 1 = 0,28
№3 числитель =
=1 - tg²α = 1 - Sin²α/Cos²α = (Cos²-Sin²α)/Сos²α = Cos2α/Cos²α
знаменатель =
1 + tg²α = 1 + Sin²α/Cos²α = (Cos²+Sin²α)/Сos²α = 1/Cos²α
Ответ: Сos2α
№4 а)Sin22°30' = √(1/2*(1-Cos45°) = √1/2*(1 - √2/2) =√(2 - √2)/4=
=√(2 - √2)/2
б) Cos15° = √1/2*(1 + Cos30°) = √1/2*(1 +√3/2) = √(2 + √3)/4=
=√(2 + √3)/2
№5 Cosα = -1/8
π< α < 3π/2 | :2
π/2 < α/2 < 3π/4 (2 четверть)
Sinα/2= √(1/2*(1- Сos α) = √1/2*(1 +1/8) = √(1/2*9/8 )= √(9/16) = 3/4
Сosα = -√(1/2*(1+Сos α) = -√1/2*(1 - 1/8) =- √(1/2*7/8 )=- √(7/16) =- √7/4
Вас заинтересует
2 года назад
2 года назад
2 года назад
2 года назад
3 года назад
9 лет назад