От пристаней A и B по реке скорость которой 2 км/ч одновременно вышли навстречу друг другу два одинаковых катера и всретелись через 7 чачов. Найти собственную скорость катеров если известно что расстояние от А до В равно 347 км и катер идущий по течению сделала в пути полуторачосовую остановку.
Ответы
Ответ дал:
0
(v+2)(7-1.5)+(v-2)7=347
5.5v+11+7v-14=347
12.5v-3=347
12.5v=350
v=28
Ответ: 28 км/ч
Ответ дал:
0
Надеюсь на "лучшее решение" :)
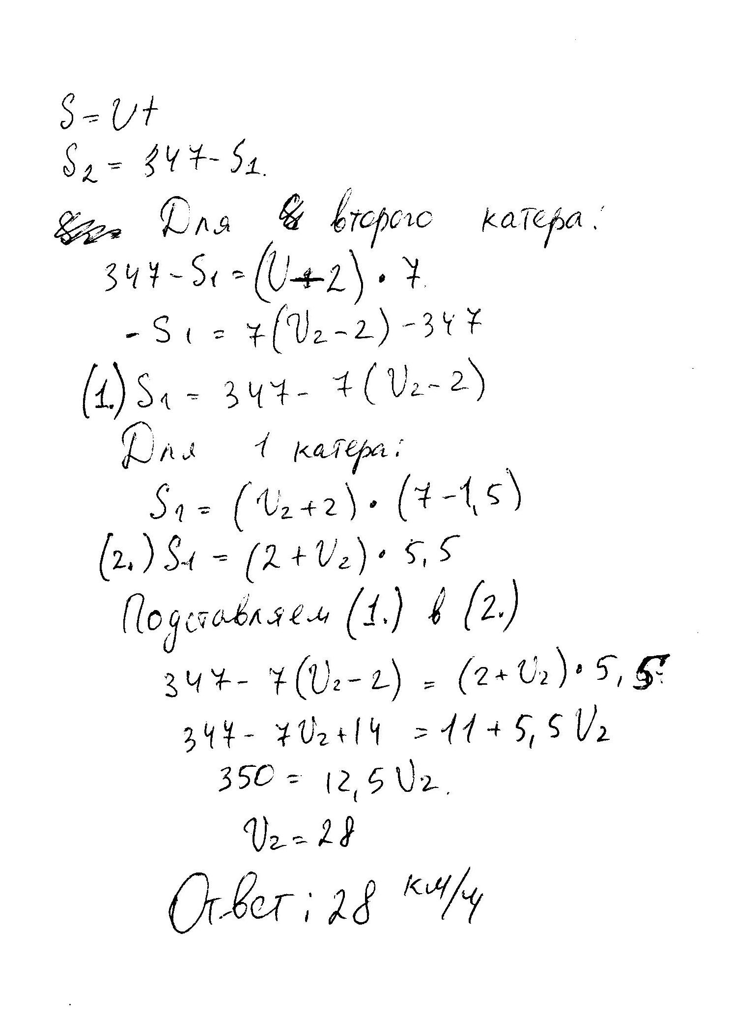
Решение на картинке
Приложения:

Вас заинтересует
2 года назад
8 лет назад
8 лет назад
10 лет назад
10 лет назад
10 лет назад