Ответы
Ответ дал:
0
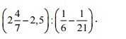
Первая скобка:
2 4/7=18/7=36/14
2,5=2 7/14=35/14
36/14-35/14=1/14
Вторая:
1/6=7/42
1/22=2/42
7/42-2/42=5/42
И 1/14:5/42=1/14×42/5=3/5
3/5=0,6
2 4/7=18/7=36/14
2,5=2 7/14=35/14
36/14-35/14=1/14
Вторая:
1/6=7/42
1/22=2/42
7/42-2/42=5/42
И 1/14:5/42=1/14×42/5=3/5
3/5=0,6
Вас заинтересует
2 года назад
2 года назад
3 года назад
3 года назад
9 лет назад
9 лет назад