• Предмет: Алгебра
  • Автор: Rroosst
  • Вопрос задан 2 года назад

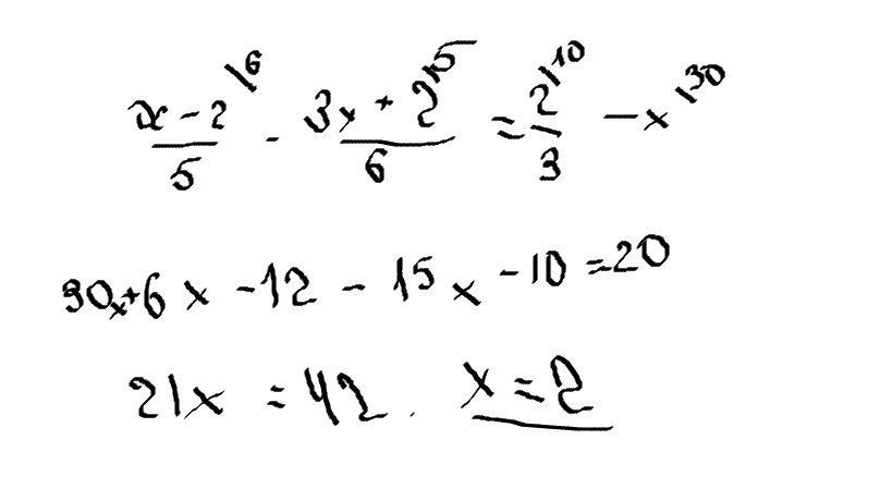
Решить уравнение пожалуйста 21бал!

Приложения:

Ответы

Ответ дал: AidaShubina
0
надеюсь что видно)))))
Приложения:
Ответ дал: daymoss
0
воттттттттттттттттттттттт
Приложения:
Вас заинтересует