Ответы
Ответ дал:
0
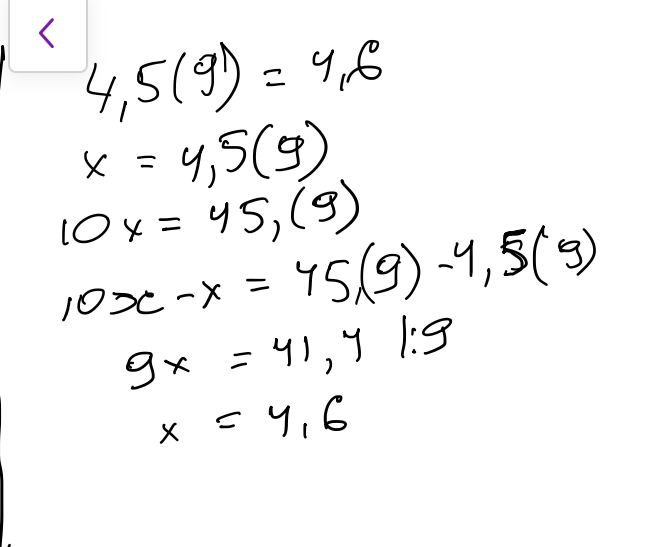
Я не эксперт, но на этом сайте все решают подобным образом: https://znanija.com/app/ask?entry=top&q=периодическая+дробь
Приложения:

Вас заинтересует
2 года назад
2 года назад
7 лет назад
9 лет назад
10 лет назад