• Предмет: Алгебра
  • Автор: lili199716
  • Вопрос задан 11 лет назад

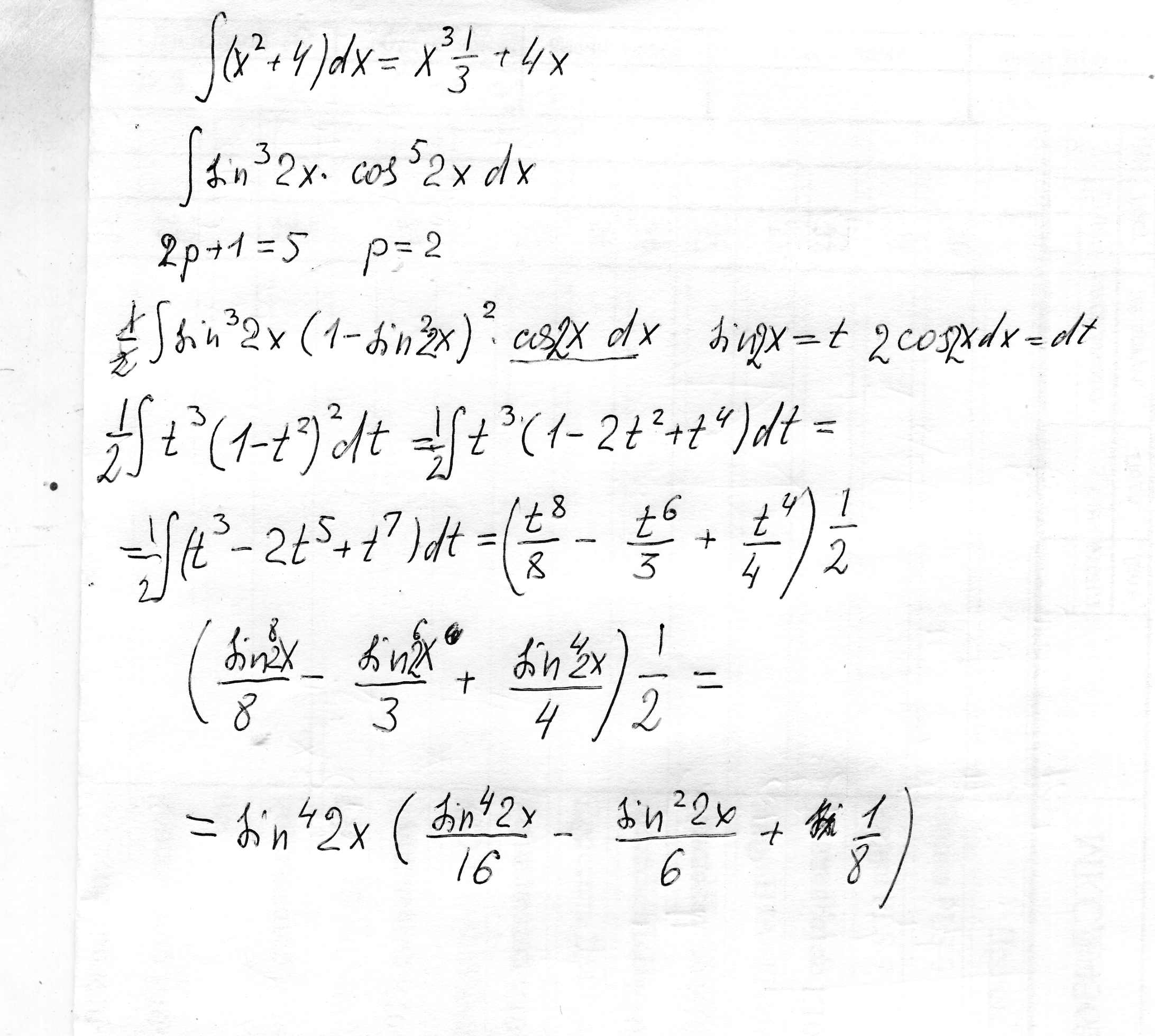
найти интеграл:

 sin^3(2x)*cos^5(2x)dx 

in(x^2+4)dx 

Ответы

Ответ дал: Гоша68
0

добавил приложение...................................................

Приложения:
Вас заинтересует