• Предмет: Алгебра
  • Автор: stepanskaya1995
  • Вопрос задан 2 года назад

Решите уравнения:
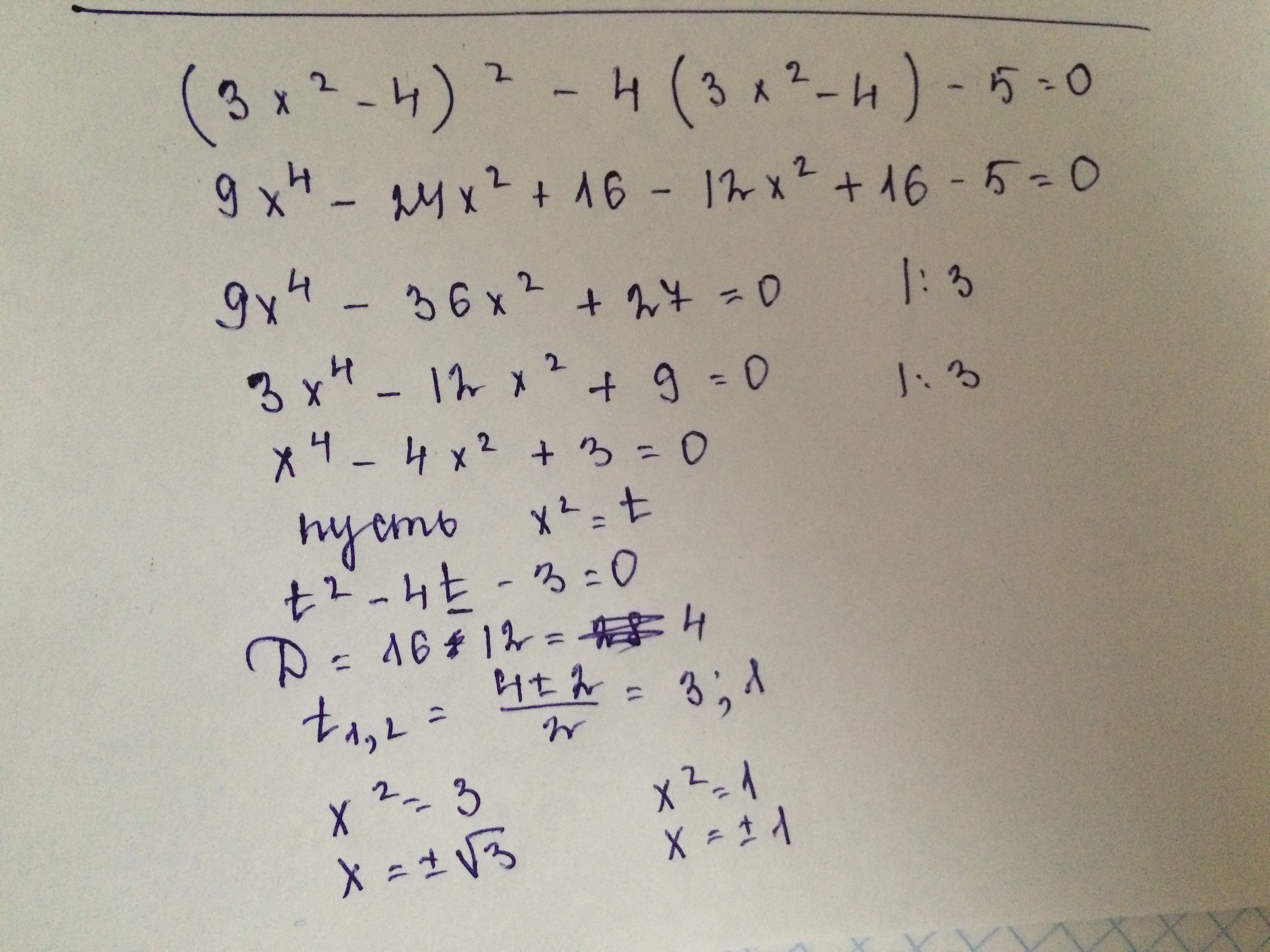
(3х^2-4)^2-4(3x^2-4)-5=0

Ответы

Ответ дал: olyasofronova
1
В дискриминанте знак минус
Приложения:
Вас заинтересует