• Предмет: Алгебра
  • Автор: shgijk
  • Вопрос задан 2 года назад

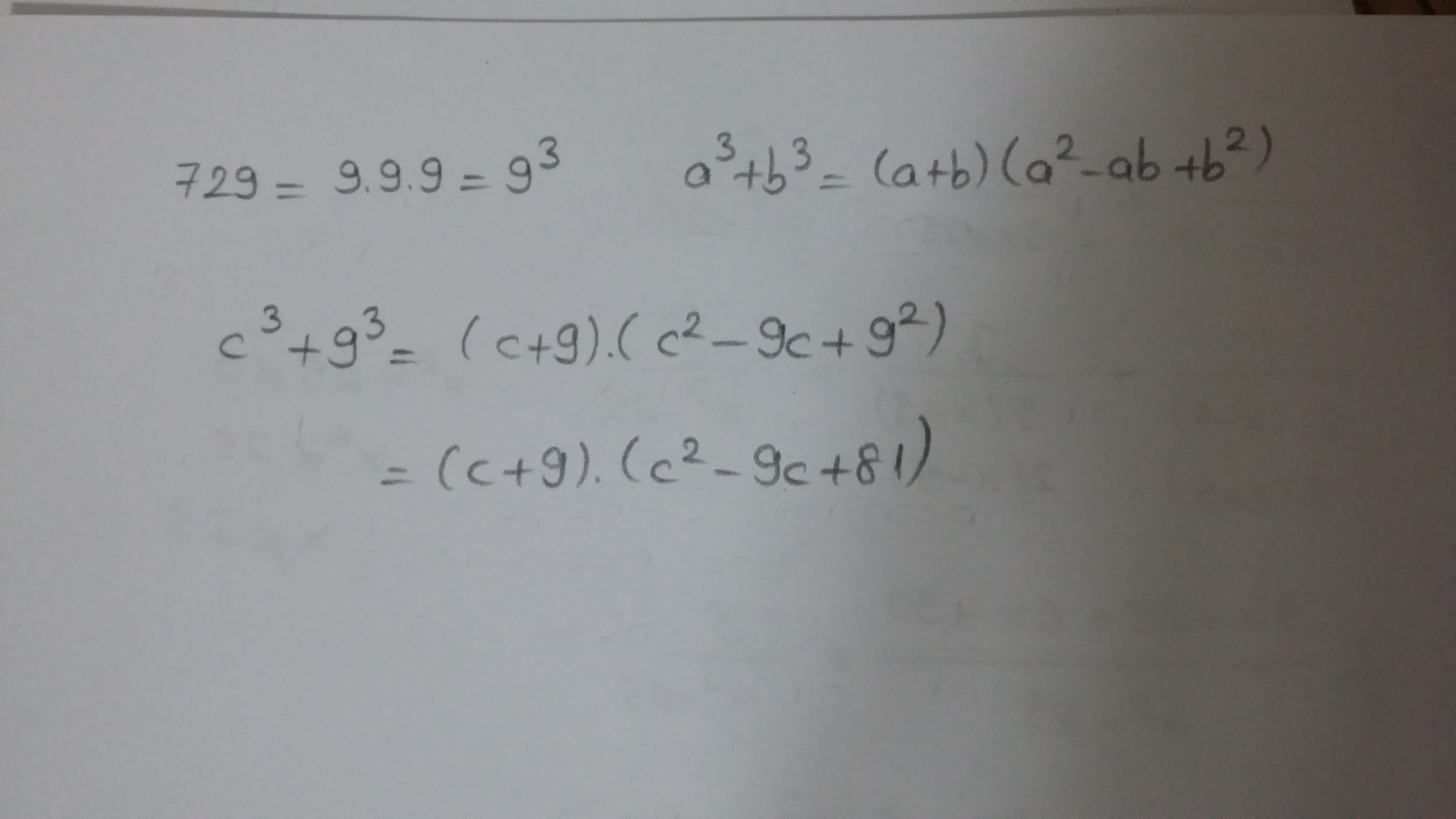
c^3+729 распишите решение пжлст

Ответы

Ответ дал: Аноним
2
I hope this helps you
Приложения:

shgijk: спасибо
Аноним: you're welcome :)
Вас заинтересует