• Предмет: Математика
  • Автор: rechichjulia
  • Вопрос задан 11 лет назад

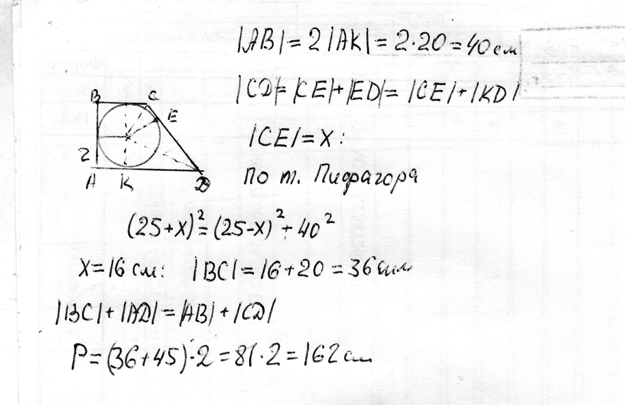
Точка дотику кола ,вписаного в прямокутну трапецію , ділить її більшу основу на відізки 20 см і 25 см периметр . Обчисліть периметр трапеції .

Ответы

Ответ дал: Гоша68
0

периметр равен 162 см.............................................

Приложения:
Вас заинтересует