• Предмет: Математика
  • Автор: romashamsutdinov
  • Вопрос задан 2 года назад

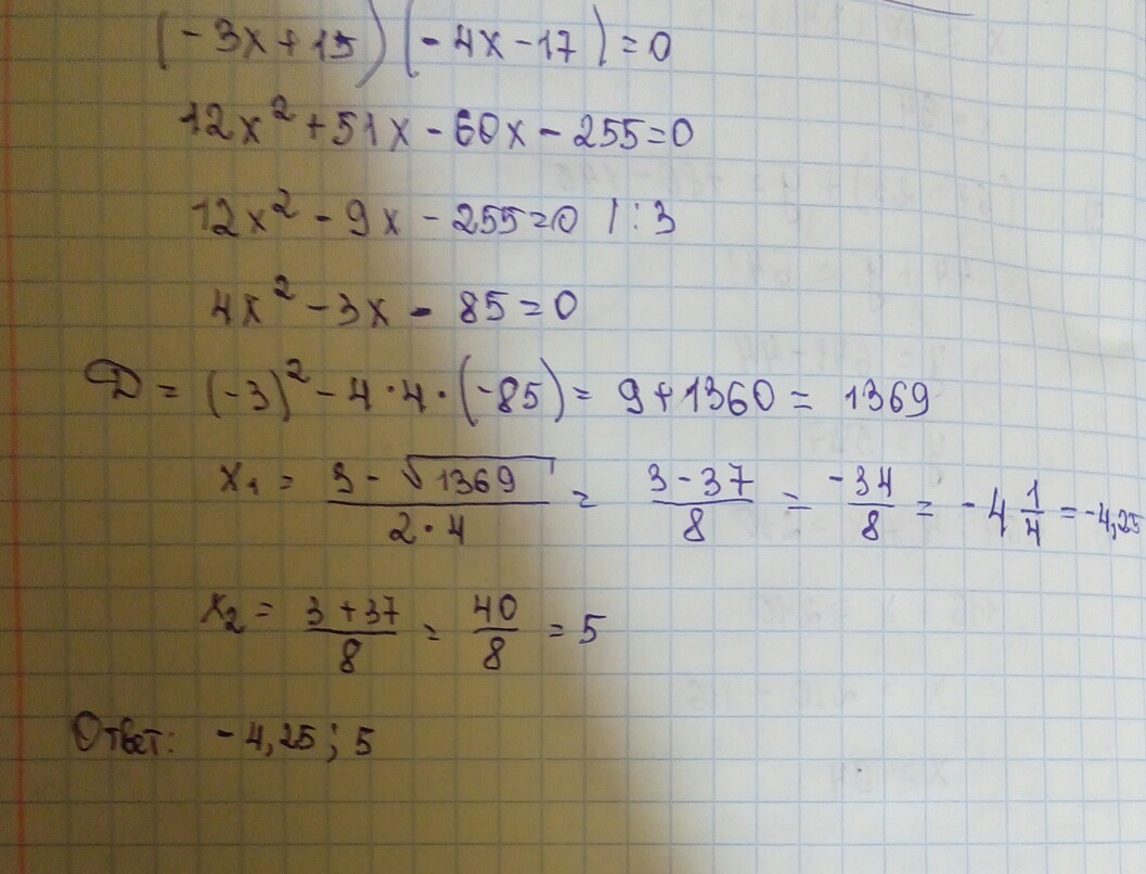
Решите уравнение (-3х+15)(-4х-17)=0

Ответы

Ответ дал: WHAFFLE
1
я, надеюсь, все будет понятно.
Приложения:
Ответ дал: Losik11
1
Вот подробное решение)
Приложения:

avilov41: Произведение равно нулю ,в данном случае, когда один из множителей равен нулю. Поэтому -3x+15=0, или 24x-17=0. Отсюда x1=5; x2=17/24
Losik11: ответ одинаковый. Только не 24x-17, а -4x-17.
avilov41: Тогда решите своим способом уравнение: (x^4-2x^2+1)*(x^3-1)=0
Вас заинтересует