Ответы
Ответ дал:
0
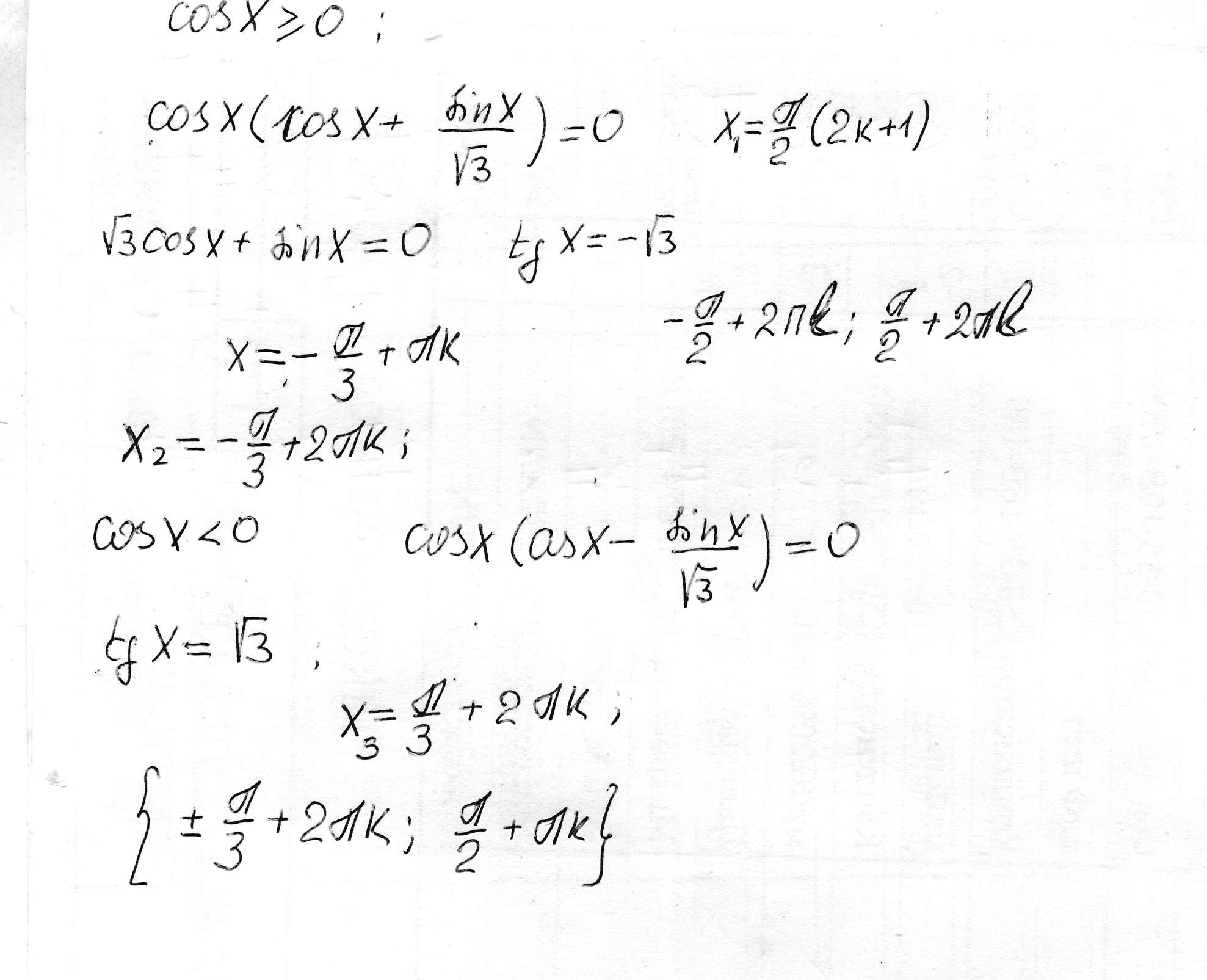
Смотри решение на фотографии.
Если что-то не разберешь в решении, то пиши в личные сообщения. Удачи:)
Приложения:

Ответ дал:
0
немного уточнил предидущий ответ
Приложения:

Вас заинтересует
2 года назад
2 года назад
8 лет назад
10 лет назад
10 лет назад
10 лет назад