Ответы
Ответ дал:
1
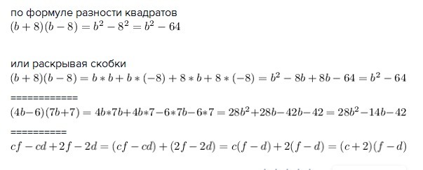
по формуле разности квадратов

или раскрывая скобки

============

==========

или раскрывая скобки
============
==========
Приложения:

Вас заинтересует
1 год назад
1 год назад
2 года назад
2 года назад
3 года назад
3 года назад
8 лет назад