• Предмет: Математика
  • Автор: Аноним
  • Вопрос задан 2 года назад

МАТЕМАТИКА БАЗОВЫЙ ПРОФИЛЬ ПОМОГИТЕ! (--- черта дроби)
b/a-b*(1/a-1/b)


parus77: b 1 1
----- *(--- - ---)
а-b a b запиши черту дроби в таком виде \ и в строчку
Аноним: все

Ответы

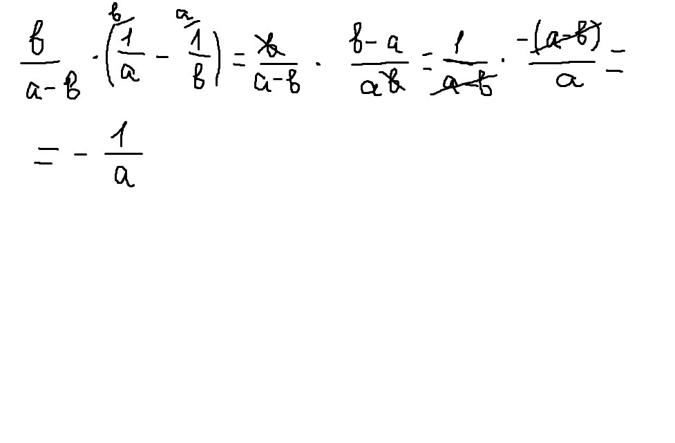
Ответ дал: parus77
0
я думаю ,что так должно получиться .
Приложения:
Вас заинтересует