• Предмет: Алгебра
  • Автор: Lello
  • Вопрос задан 9 лет назад

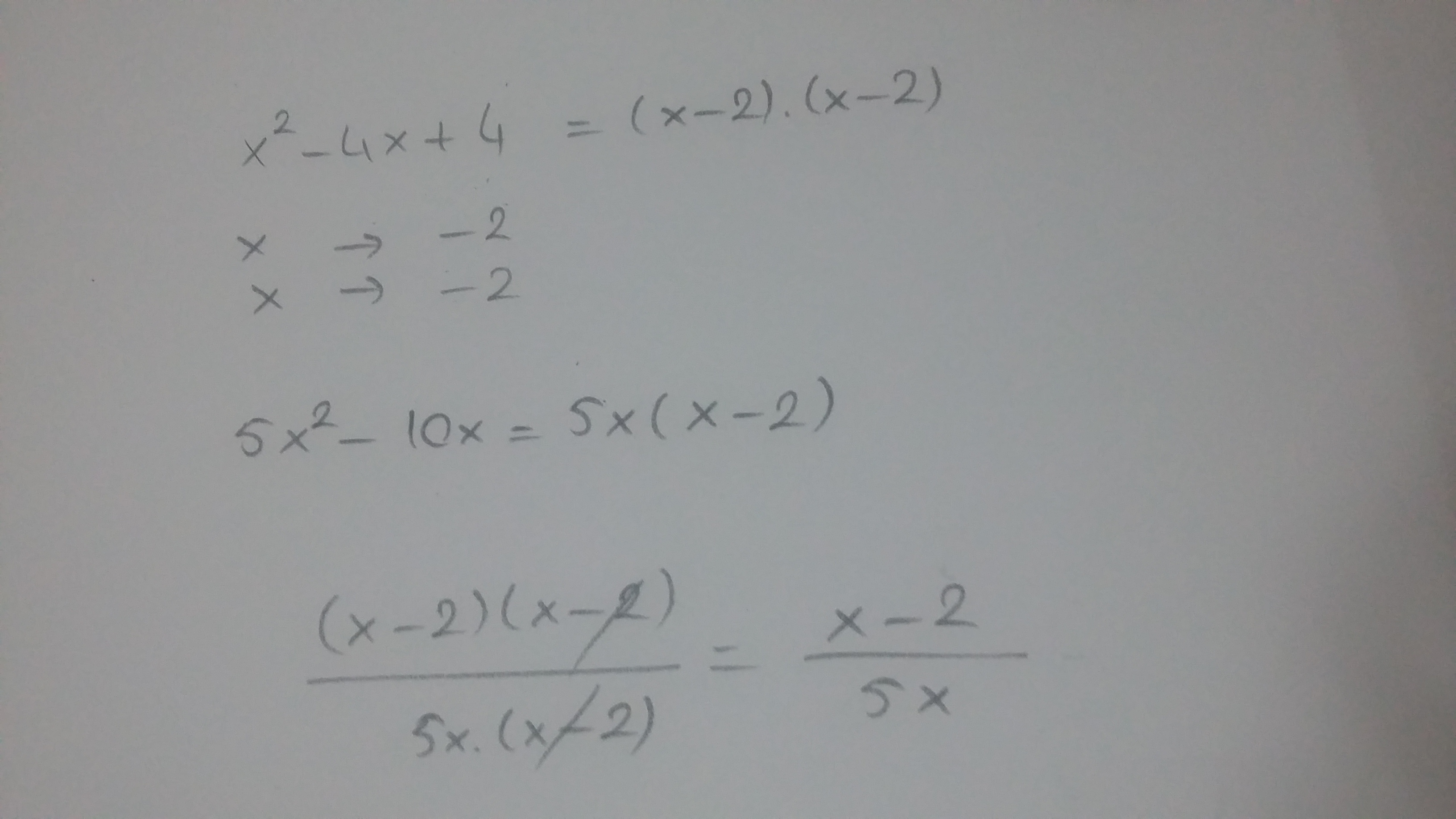
Сократить дробь :

x^2 - 4x + 4 / 5x^2 - 10x

Ответы

Ответ дал: Аноним
0
I hope this helps you
Приложения:
Ответ дал: Аноним
0
x^2-4x+4=(x-2)^2
Ответ дал: Аноним
0
5x^2-10x=5x (x-2)
Ответ дал: Аноним
0
(x-2)^2/5x (x-2)
Ответ дал: Аноним
0
x-2/5x
Вас заинтересует