• Предмет: Алгебра
  • Автор: Dianaowl
  • Вопрос задан 11 лет назад

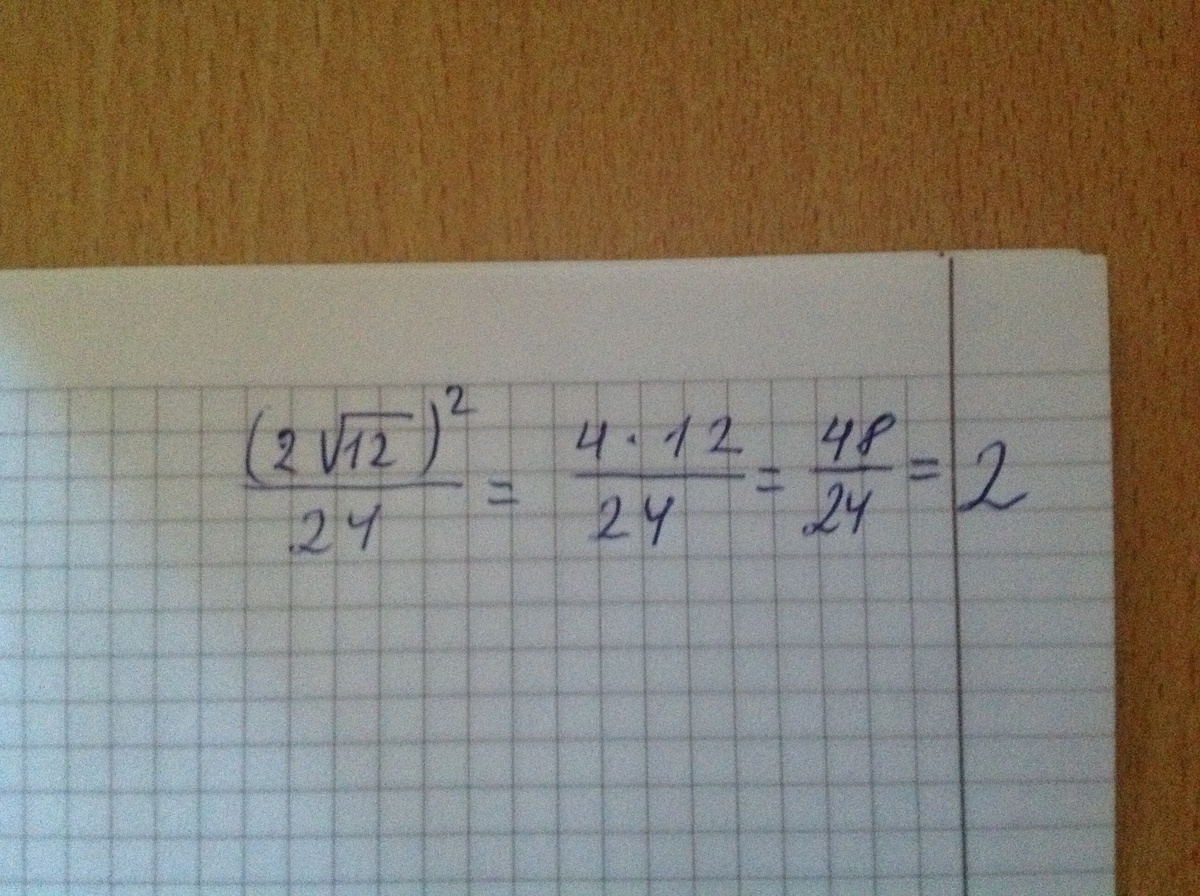
найдите значение выражения (2√12)^2 /24

Ответы

Ответ дал: Steep0
0

(2√12)^2 /24=(√4*√12)^2/24=(48^1/2)^2/24=48^1/2*2/24=48^1/24

Ответ дал: Аноним
0

Решение Вашего задания во вложении

Приложения:
Вас заинтересует