Ответы
Ответ дал:
1
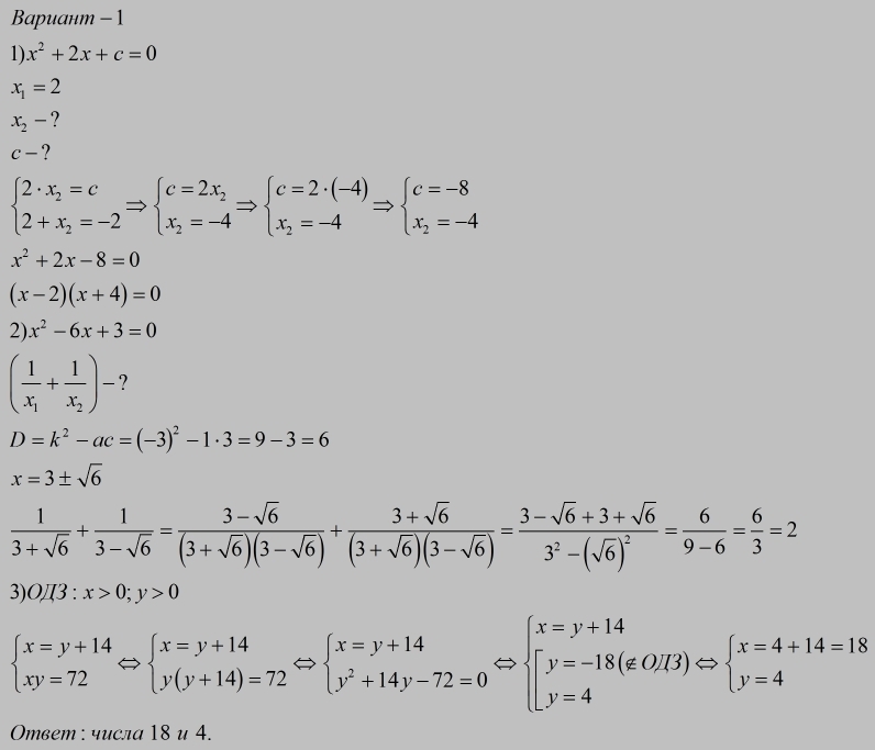
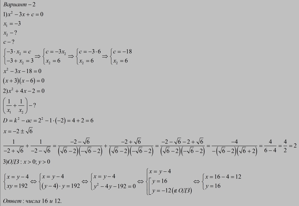
Вот вам решение!!!!!!!!
Приложения:


oksanayarmolen:
Где ты это решаеш?В программе
Вас заинтересует
1 год назад
1 год назад
2 года назад
3 года назад
3 года назад
8 лет назад