• Предмет: Алгебра
  • Автор: Дилназ345
  • Вопрос задан 2 года назад

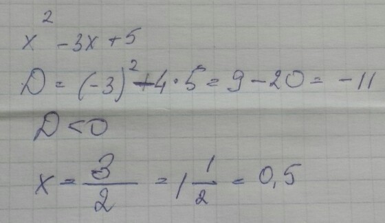
X квадрат-3x+5 помогите

Ответы

Ответ дал: WHAFFLE
0
взаранее пожалуйста. рада помочь
Приложения:
Вас заинтересует