• Предмет: Математика
  • Автор: tolgonaykaldyb
  • Вопрос задан 2 года назад

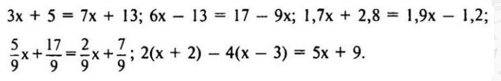
ПОМОГИТЕ ПОЖАЛУЙСТА!СРОЧНО! ХОТЬ ОДИН ИЗ НИХ!

Приложения:

Ответы

Ответ дал: nastia21234
1
х=-3 11/16 *(-2 4/59)
х= 61/8
x=-56 5/8
Вас заинтересует