• Предмет: Алгебра
  • Автор: obyava12
  • Вопрос задан 2 года назад

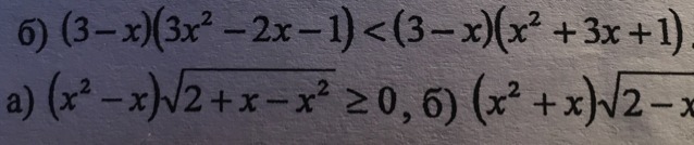
Уравнение б плиз
На поступление в лицей МОЯ СУДЬБА РЕБЯТ

Приложения:

Ответы

Ответ дал: ВладимирБ
0
Решение смотри на фото
Приложения:
Вас заинтересует