• Предмет: Математика
  • Автор: Matveevmatvey
  • Вопрос задан 2 года назад

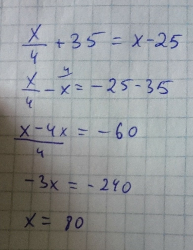
Решите уравнение (х:4)+35=х-25

Ответы

Ответ дал: okeka
3
вот решение, думаю, все понятно
Приложения:
Вас заинтересует