• Предмет: Алгебра
  • Автор: obyava12
  • Вопрос задан 9 лет назад

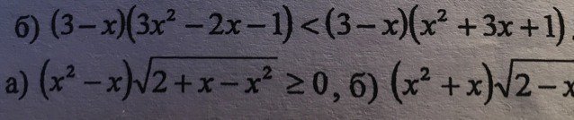
Решите неравенство.Пожалуйста. Б первое

Приложения:

Ответы

Ответ дал: ВладимирБ
0
Решение смотри на фото
Приложения:
Вас заинтересует