• Предмет: Математика
  • Автор: tupoychildren
  • Вопрос задан 9 лет назад

Нужен не только ответ, а полное решение, надеюсь на быстрый отклик

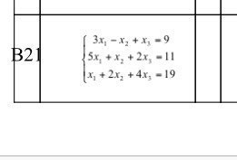
Приложения:

Ответы

Ответ дал: moboqe
0
A=bigl(begin{smallmatrix} 1 & 2 &4 \ 3 & -1 & 1 \ 5 & 1 & 2 end{smallmatrix}bigr)\ bigl(begin{smallmatrix} 1 & 2 &4 \ 3 & -1 & 1 \ 5 & 1 & 2 end{smallmatrix}bigr)simbigl(begin{smallmatrix} 1 & 2 &4 \ 0 & -7 & -11 \ 0 & -9 & -18 end{smallmatrix}bigr) sim bigl(begin{smallmatrix} 1 & 2 &4 \ 0 & -7 & -11 \ 0 & 0 & -{27over7} end{smallmatrix}bigr)Rightarrow rankA=3\ bar{A}=bigl(begin{smallmatrix} 1 & 2 & 4 & 19\ 3&-1 & 1& 9\ 5 & 1 & 2 & 11 end{smallmatrix}bigr)\ bigl(begin{smallmatrix} 1 & 2 & 4 & 19\ 3&-1 & 1& 9\ 5 & 1 & 2 & 11 end{smallmatrix}bigr)sim bigl(begin{smallmatrix} 1 & 2 & 4 & 19\ 0&-7 & -11& -48\ 0 & -9 & -18 & -84 end{smallmatrix}bigr) simbigl(begin{smallmatrix} 1 & 2 & 4 & 19\ 0&-7 & -11& -48\ 0 & 0 & -{27over7} & -{156over7} end{smallmatrix}bigr) Rightarrow rankbar{A}=3\ rankA=rankbar{A}=3\
Вывод: система совместна
Вас заинтересует