• Предмет: Алгебра
  • Автор: Астери
  • Вопрос задан 11 лет назад

1.помогите пожалуйста решить систему

 1,5+4>3x+7;

3x+23>или =8

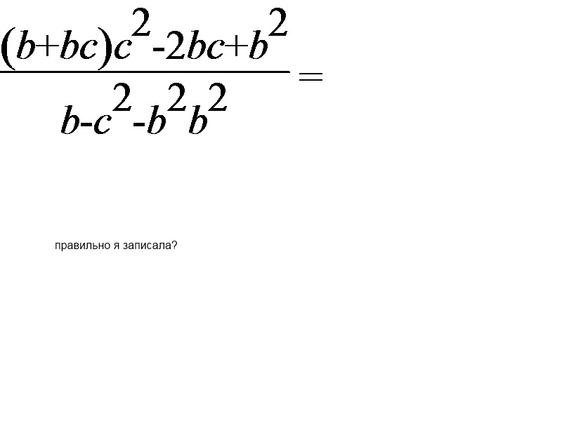
2.    (в чеслителе в в  знаменателе в-с + в чеслителе вс в знаменателе с в квадрате - в в квадрате)* с в квадрате - 2вс+ в чеслителе в в квадрате а в знаменателе в вквадрате

 

Ответы

Ответ дал: triolana
0

смотри прикреплённый файл

Приложения:
Вас заинтересует