Ответы
Ответ дал:
0
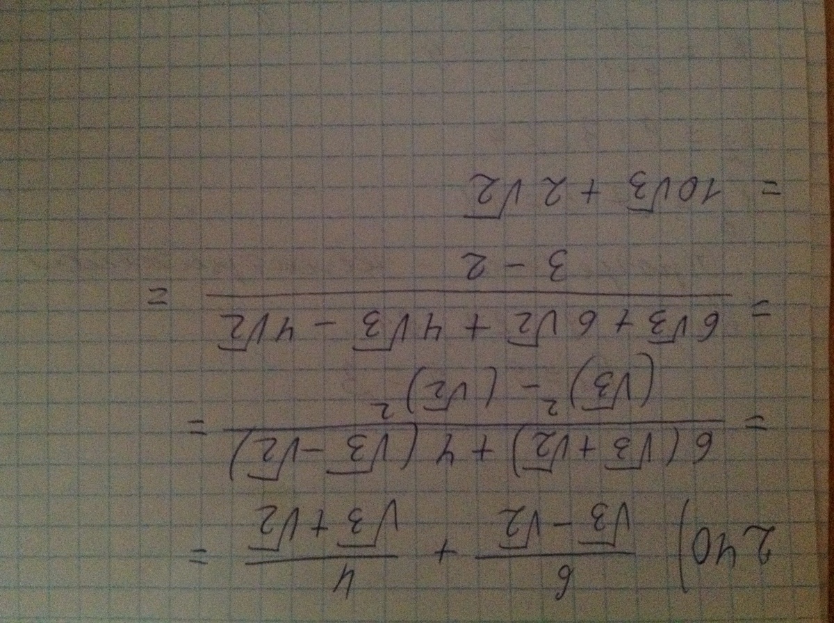
Решение Вашего задания во вложении
Приложения:

Ответ дал:
0
6+4/под корнем 3-2+3+2=10/под корнем 6.
ВОТ И ВСЕ РЕШЕНИЕ.ОЧЕНЬ ПРОСТО И ЛЕГКО.ЕСЛИ ЧТО-ТО НЕ ТАК ПИШИ В СМС.
Приложения:

Вас заинтересует
2 года назад
8 лет назад
8 лет назад
10 лет назад
10 лет назад
10 лет назад