Ответы
Ответ дал:
0
х є
Приложения:

Ответ дал:
0
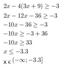
2х-4(3х+9)≥-3
2х-12х-36≥-3
2х-12х≥-3+36
-10х≥33 /:(-10)
х≤-3.3
(делаем рисунок)
Ответ:(-∞;-3,3]
2х-12х-36≥-3
2х-12х≥-3+36
-10х≥33 /:(-10)
х≤-3.3
(делаем рисунок)
Ответ:(-∞;-3,3]
Приложения:

Вас заинтересует
2 года назад
2 года назад
7 лет назад
9 лет назад
9 лет назад
10 лет назад