• Предмет: Алгебра
  • Автор: hamstersoft
  • Вопрос задан 11 лет назад

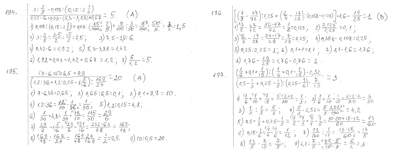
Помогите решить не а б с а решить надо зарание СПС

Приложения:

Ответы

Ответ дал: Ellenochka
0

__________________________________

Приложения:
Вас заинтересует