• Предмет: Алгебра
  • Автор: romazanova22661
  • Вопрос задан 9 лет назад

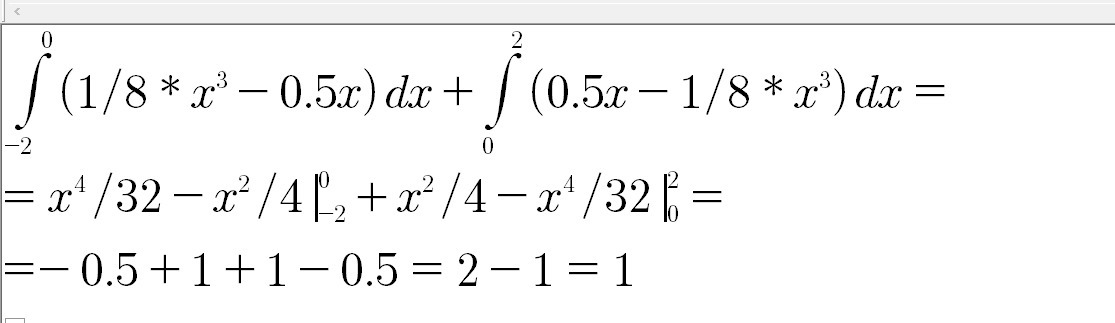
Найдите площадь фигуры, ограниченной линиями: y=1/8x^3, y=0,5x;

Ответы

Ответ дал: ShirokovP
0
см фото
====================
Приложения:
Вас заинтересует