Упростите выражение:

Приложения:

Ответы

Ответ дал: yubib
0
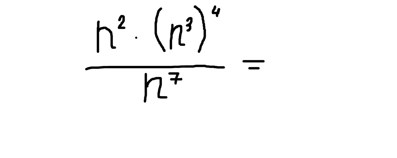
 frac{n^{2}* n^{12}  }{ n^{7} } =
  frac{ n^{14} }{ n^{7} } =  n^{7}
Вас заинтересует