• Предмет: Математика
  • Автор: ЕЛЕНАБЛИЦ
  • Вопрос задан 9 лет назад

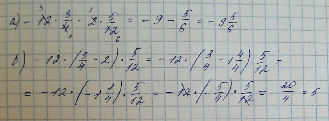
а)-12*3/4-2*5/12=
б)-12*(3/4-2)*5/12=
с решением !

Ответы

Ответ дал: как1ты
0
А. -9-5:6=-9-5=-14.
Ответ дал: essesk
0
а) -9 5/6
б) 5
(решение на фото)
Приложения:
Ответ дал: essesk
0
не за что;)
Вас заинтересует