• Предмет: Физика
  • Автор: Аноним
  • Вопрос задан 11 лет назад

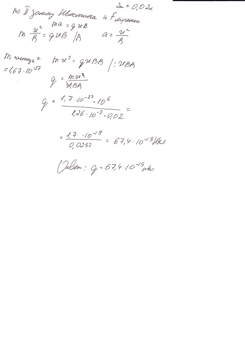
Заряженная частица движется по окружности радиусом 2 см в однородном магнитном поле индукцией 1,26•10^-2 Тл. Найти удельный заряд частицы, если её скорость 10^6 м/с.

Ответы

Ответ дал: Аноним
0

задание решено, см. вложение

Приложения:
Вас заинтересует