ПОЖАЛУЙСТА!СРОЧНО!БУДУ ОЧЕНЬ БЛАГОДАРНА!
Найдите значение выражения
1)5ab при a= -1,2; b=4.
2)3-х при х= -5.
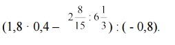
Вычислите:
Приложения:
Ответы
Ответ дал:
0
1)5ab при a= -1,2; b=4.
5*(-1,2)*4=-6*4= - 24
2)3-х при х= -5.
3-(-5)=3+5=8

5*(-1,2)*4=-6*4= - 24
2)3-х при х= -5.
3-(-5)=3+5=8
Вас заинтересует
2 года назад
2 года назад
7 лет назад
7 лет назад
10 лет назад
10 лет назад
10 лет назад